помогите пожалуйста
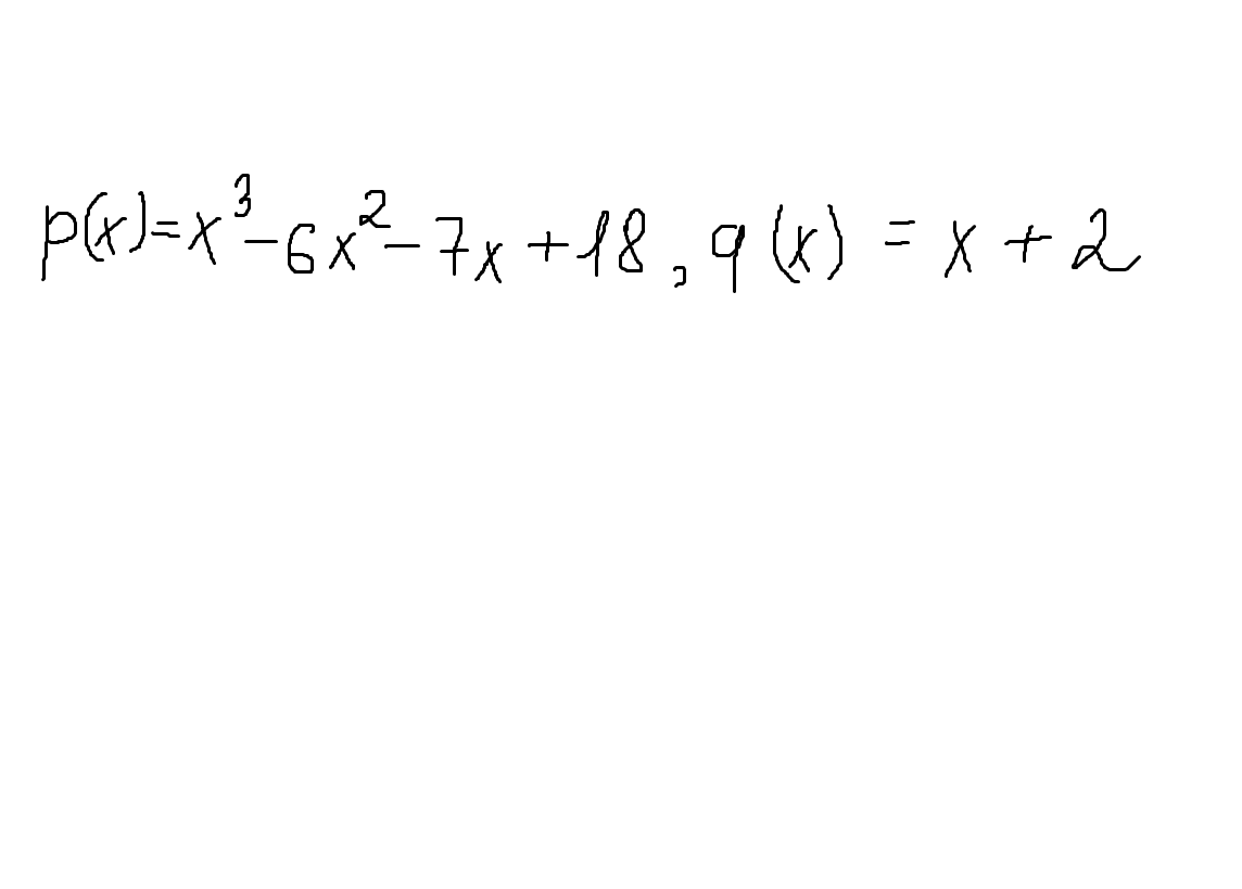
Выполните деление уголком многочлена p(х) на многочлен q(x) если:
Приложения:

Ответы
Ответ дал:
0
см вложение
/////////////////////////////////////////////////////////////////
Приложения:

Вас заинтересует
2 года назад
2 года назад
8 лет назад
10 лет назад