• Предмет: Алгебра
  • Автор: Дарья1245
  • Вопрос задан 11 лет назад

помогите пожалуйста, 
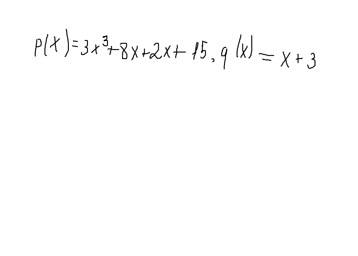
Выполните деление уголком многочлена p(х) на многочлен q(x) если:

Приложения:

Ответы

Ответ дал: diabl1k
0

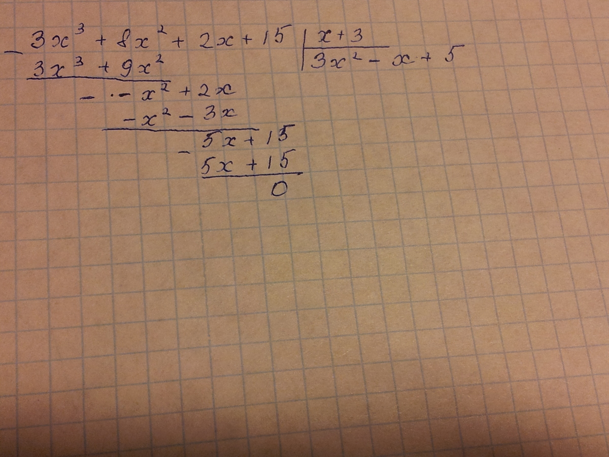
Вот решение, только там не 8x, а 8x^2 тогда можно уголком поделить

Приложения:
Вас заинтересует