• Предмет: Математика
  • Автор: busya12345
  • Вопрос задан 11 лет назад

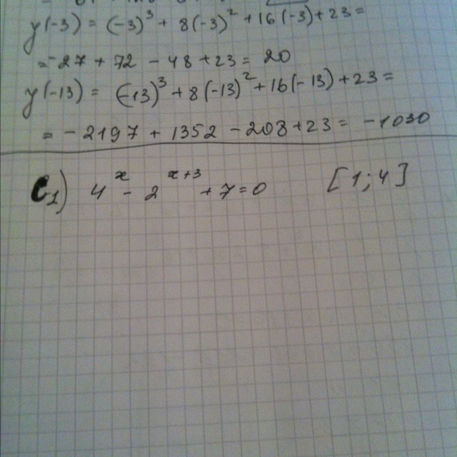
4^х - 2^х+3 +7 = 0
[1;4]
(С1)

Приложения:

Ответы

Ответ дал: NiceLo
0

Решаем с помощью замены.

 

2^2x - 2^3*2^x+7=0

 

2^x=a

 

a^2-8a+7=0

D=64-28=36

a1=7

a2=1

 

Вернемся в замену. 

1)2^x=1

    x=0

2) 2^x=7

      (2 основание логарифма)

 

 

О не подходит к нашему промежутку, проверяем подходит ли логарифм

 

единица это log 2 от 2

четверка это логарифм 2 от 16

у нас логарифм 2 от 7 

2 меньше 7 меньше 16

Значит подходит

 

Ответ  x=log2 от7

Вас заинтересует