• Предмет: Алгебра
  • Автор: wwwkavay
  • Вопрос задан 10 лет назад

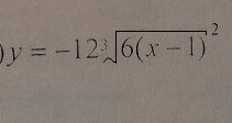
||МНОГО БАЛЛОВ|| ПОМОГИТЕ НАЙТИ ПЕРВУЮ И ВТОРУЮ ПРОИЗВОДНУЮ ФУНКЦИИ (ПЫ.СЫ. ВЫБИРАЙТЕ ПРИМЕР, КОТОРЫЙ ПРОЩЕ РЕШАТЬ И РЕШИТЕ ПОДРОБНО)

Приложения:

Ответы

Ответ дал: m11m
0
y= -12  sqrt[3]{6(x-1)^2} = -12 *  6^{ frac{2}{3} }* (x-1)^{ frac{2}{3} }  \ 
 \ 
y' = -12* 6^{ frac{2}{3} }* frac{2}{3}* (x-1)^{ frac{2}{3}- frac{3}{3}  }= \ 
   = - frac{-4*3* 6^{ frac{2}{3} }*2 }{3}* (x-1)^{- frac{1}{3} }= \ 
  = -8* 6^{ frac{2}{3} }* (x-1)^{- frac{1}{3} }= \ 
  = frac{-8* sqrt[3]{ 6^{2} } }{ sqrt[3]{x-1} }= \ 
=-8* sqrt[3]{ frac{36}{x-1} } \ 
 \ 
 \ 
y''=-8* 6^{ frac{2}{3} }* (-frac{1}{3})* (x-1)^{  -frac{1}{3}- frac{3}{3}  }= \
= frac{8* 6^{ frac{2}{3} } }{3 (x-1)^{ frac{4}{3} } }= frac{8* 6^{ frac{2}{3} } }{3(x-1) sqrt[3]{x-1} }= \ 
= frac{8}{3(x-1)}* sqrt[3]{ frac{36}{x-1} }
Вас заинтересует