ДАМ 70 БАЛОВ!!!ЭТО СРОЧНО!!!
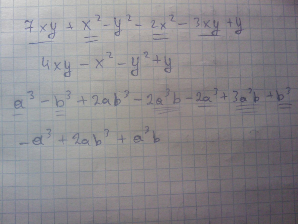
Приведите подобные члены и запишите многочлен в стандартном виде:


Решите ур-ие:
Ответы
Ответ дал:
0
Правильный ответ в фото.
Приложения:


Ответ дал:
0
СПАСИБО БОЛЬШОЕ!!!!!!!!!!!
Вас заинтересует
2 года назад
7 лет назад
7 лет назад
10 лет назад
10 лет назад
10 лет назад