• Предмет: Геометрия
  • Автор: голоч
  • Вопрос задан 10 лет назад

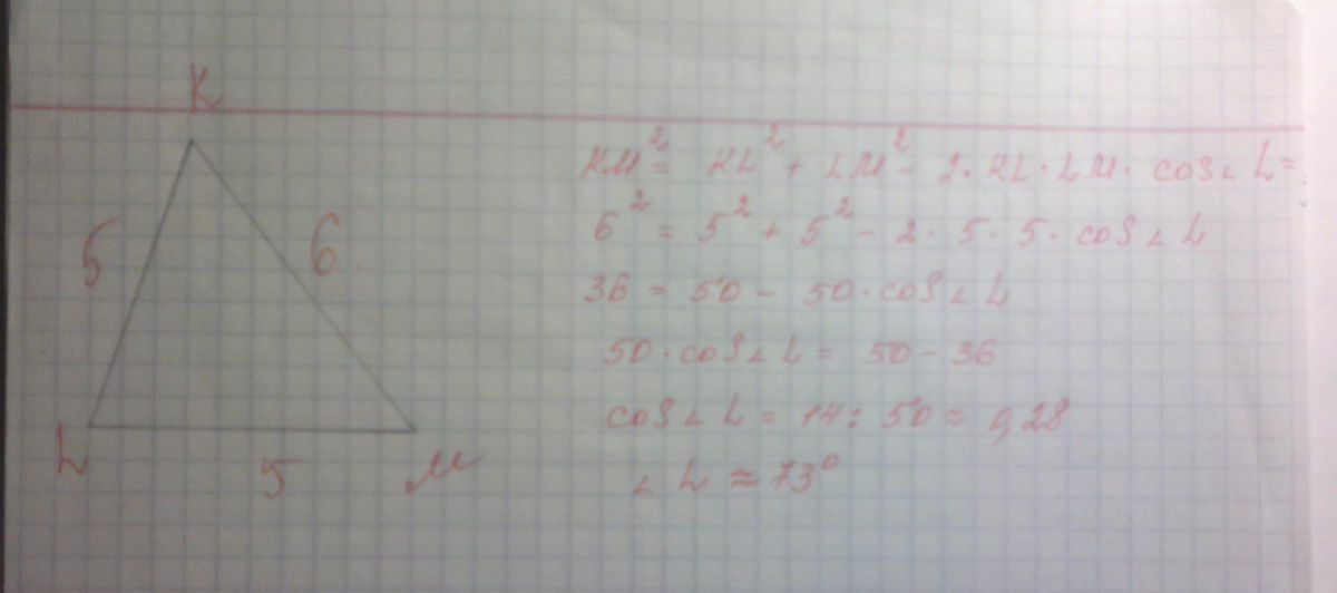
В треугольнике КЛМ КЛ=ЛМ=5, КМ=6. Найти косинус угла Л.

Ответы

Ответ дал: ytekjdbvsq
0
 пишите, если что не так
Приложения:
Вас заинтересует