• Предмет: Алгебра
  • Автор: Kolю4кА
  • Вопрос задан 11 лет назад

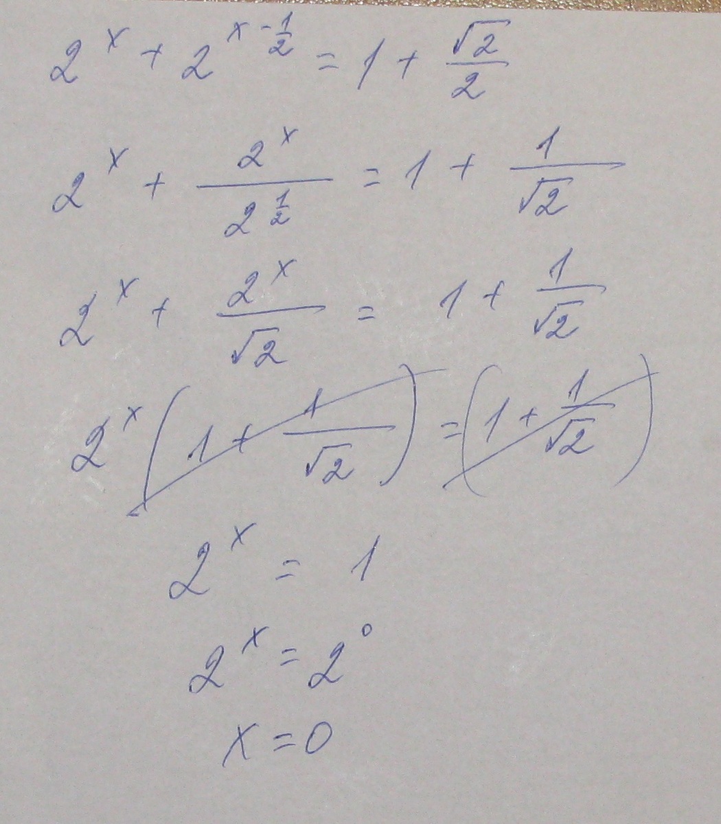
1. Решить уравнение

2^(x) +2^(x-12) = 1 +(√22)

 

2. Учащиеся 8 класса обмениваются фотокарточками. Сколько было учащихся, если для обмена потребовалось 870 фотокарточек?
)) спасибо заранее* 

 

 

 

Ответы

Ответ дал: alyona72
0

Решение уравнения  в приложении.Удачи!

Приложения:
Вас заинтересует