Ответы
Ответ дал:
0
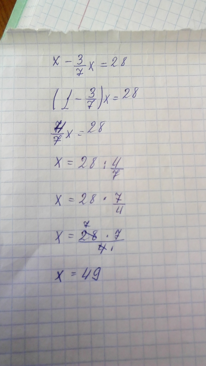
х-3/7х=28
7/7х-3/7х=28
4/7х=28
х=28:4/7
х=28*7/4
х=49
если же 2 8 это 2/8 тогда
х-3/7х=2/8
7/7х-3/7х=1/4
4/7х=1/4
х=1/4:4/7
х=1/4*7/4
х=7/16
7/7х-3/7х=28
4/7х=28
х=28:4/7
х=28*7/4
х=49
если же 2 8 это 2/8 тогда
х-3/7х=2/8
7/7х-3/7х=1/4
4/7х=1/4
х=1/4:4/7
х=1/4*7/4
х=7/16
Ответ дал:
0
благодарности не недо:-D
Приложения:

Ответ дал:
0
Надо)спасибо)
Вас заинтересует
2 года назад
7 лет назад
7 лет назад
10 лет назад
10 лет назад