• Предмет: Математика
  • Автор: Pr1zrak1ce1
  • Вопрос задан 10 лет назад

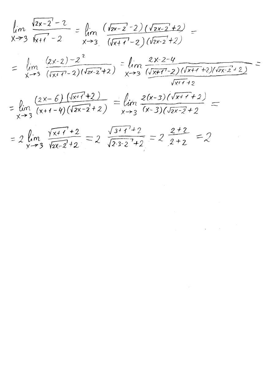
Задание номер 5.17 пределы решение фотографией

Приложения:

Ответы

Ответ дал: bearcab
0
Решение в приложении
Приложения:
Ответ дал: Pr1zrak1ce1
0
Спасибо
Вас заинтересует