Ответы
Ответ дал:
0
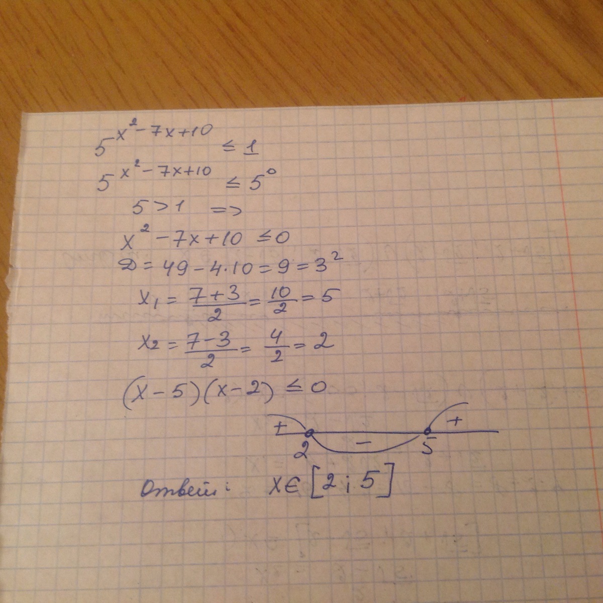
5^(x²-7x+10)≤5^0
x²-7x+10≤0
(x-2)(x-5)≤0
+ - +
__________
2 5
точки закрашенные
х∈[2;5]
x²-7x+10≤0
(x-2)(x-5)≤0
+ - +
__________
2 5
точки закрашенные
х∈[2;5]
Ответ дал:
0
Решение смотри в приложении
Приложения:

Вас заинтересует
2 года назад
2 года назад
7 лет назад
7 лет назад
10 лет назад
10 лет назад
10 лет назад