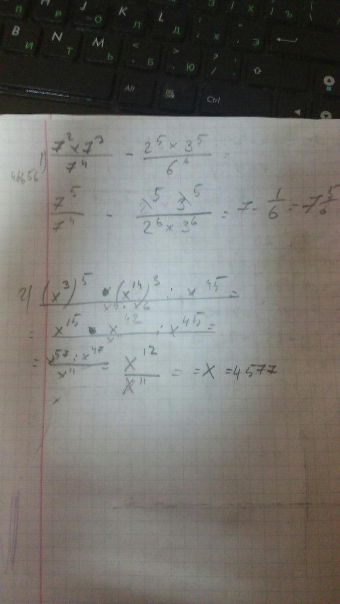
Вычислите:
7²×7³ 2⁵ × 3⁵
-------- - --------
7⁴ 6⁶
Решите уравнение :
(x³)⁵ × (x¹⁴)³ : x⁴⁵
---------------------- == 4577
x⁵× x⁶
Ответы
Ответ дал:
0
фотка ниже , там все решение
Приложения:

Ответ дал:
0
даконечно
Ответ дал:
0
плз не понятно немного
Ответ дал:
0
все правильно, испугалась думала ошиблась!
Ответ дал:
0
сек
Ответ дал:
0
спс
Вас заинтересует
2 года назад
7 лет назад
10 лет назад
10 лет назад
10 лет назад