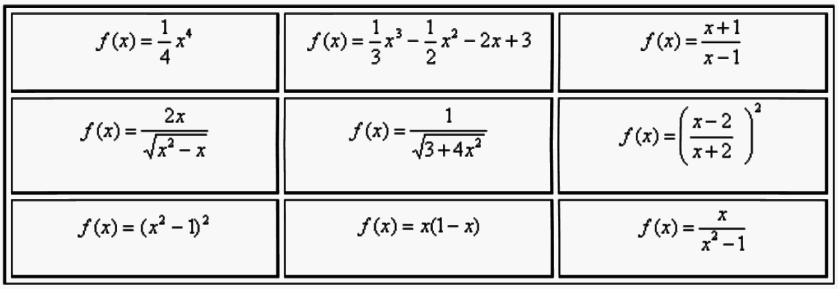
Я – функция сложная, это известно,
Ещё расскажу, если вам интересно,
Что точку разрыва и корень имею,
И есть интервал, где расти не посмею.
Во всём остальном положительна, право,
И это, конечно, не ради забавы.
Для чисел больших я стремлюсь к единице.
Найдите меня среди прочих в таблице:
Приложения:
Ответы
Ответ дал:
0
Это функция
.
Это гипербола у=1/х, сдвинутая по оси Ох на 1 единицу
вправо и по оси ОУ на 1 единицу вверх. Она имеет
точку разрыва при х=1.Есть асимптота вертикальная: х=1.
Есть горизонтальная асимптота у=1---> при больших
зачениях переменных функция стремится к 1.
Корень один - это х=-1.
Функция убывающая на (-∞,1) и (1,+∞).
Это гипербола у=1/х, сдвинутая по оси Ох на 1 единицу
вправо и по оси ОУ на 1 единицу вверх. Она имеет
точку разрыва при х=1.Есть асимптота вертикальная: х=1.
Есть горизонтальная асимптота у=1---> при больших
зачениях переменных функция стремится к 1.
Корень один - это х=-1.
Функция убывающая на (-∞,1) и (1,+∞).
Приложения:
Ответ дал:
0
Извините, просмотрела описку,надо было панисать "это гипербола, как у=1/х", потому, что "это гипербола у=2/х, сдвинутая по оси ОХ на 1 вправо и по оси ОН на 1 вверх."
Вас заинтересует
2 года назад
2 года назад
8 лет назад
10 лет назад
10 лет назад
10 лет назад
10 лет назад