Ответы
Ответ дал:
0
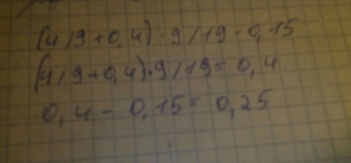
на картинке решение
получиться=0,25
получиться=0,25
Приложения:

Вас заинтересует
2 года назад
2 года назад
7 лет назад
10 лет назад
10 лет назад
10 лет назад