Ответы
Ответ дал:
0
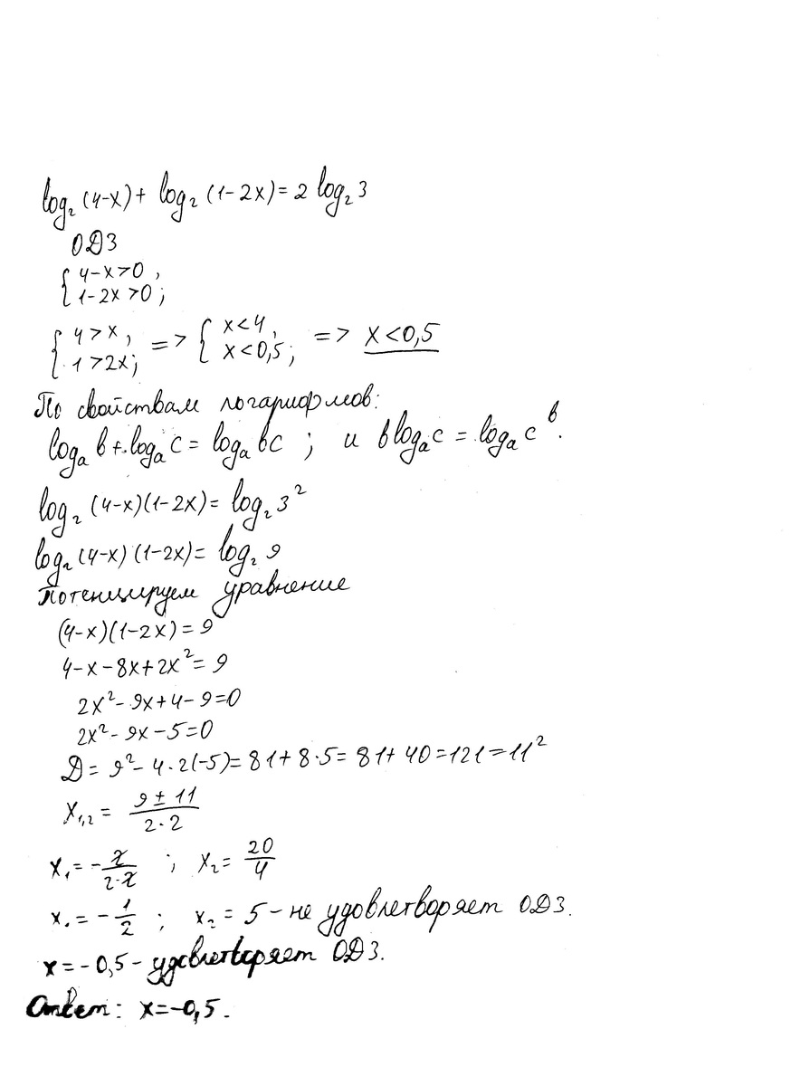
Решение в приложении. х= -0,5.
Приложения:

Ответ дал:
0
спасибо большое вам
не могли бы вы помочь мне с этим вопросом тоже? http://znanija.com/task/16012444
не могли бы вы помочь мне с этим вопросом тоже? http://znanija.com/task/16012444
Вас заинтересует
2 года назад
7 лет назад
7 лет назад
10 лет назад
10 лет назад