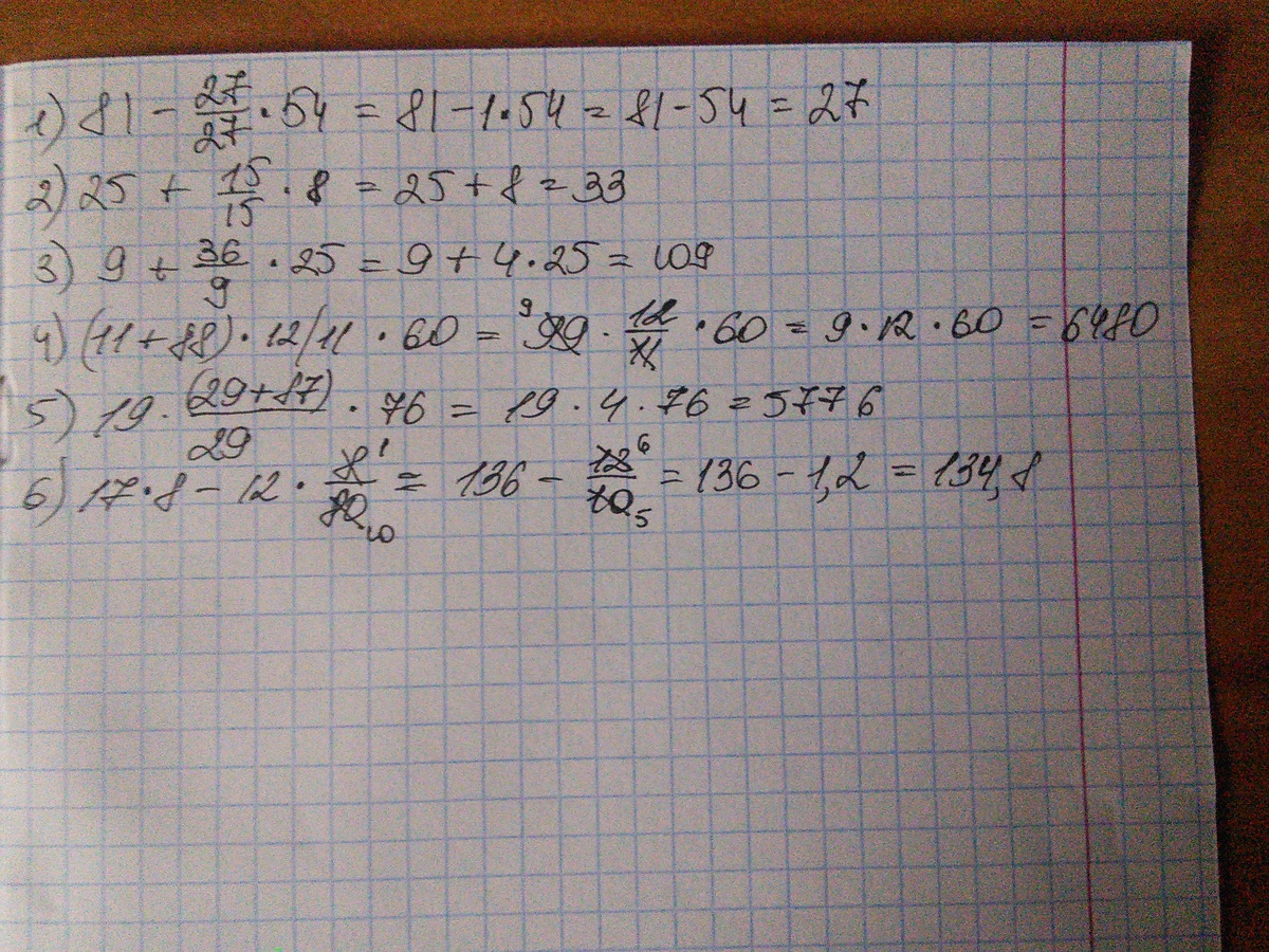
Помогите сократить дроби-
1)81-27/27*54
2)25+15/15*8
3)9+36/9*25
4)(11+88)*12/11*60
5)19*(29+87)/29*76
6)17*8-12*8/80
Ответы
Ответ дал:
0
..............................
Приложения:

Вас заинтересует
2 года назад
2 года назад
7 лет назад
7 лет назад
10 лет назад
10 лет назад