• Предмет: Математика
  • Автор: tsisangulova
  • Вопрос задан 10 лет назад

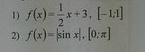
Разложить 2 функции в ряд Фурье на заданном интервале, построить к ним графики

Приложения:

Ответа на этот вопрос пока нет. Попробуйте найти его через форму поиска.

Вас заинтересует