• Предмет: Алгебра
  • Автор: мааленькаяя
  • Вопрос задан 10 лет назад

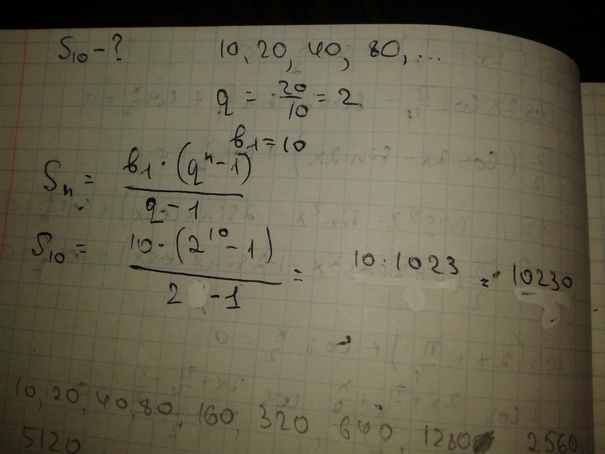
найти сумму а) первых десяти членов геометрической прогрессии: 10,20,40... б) первых семи членов геометрической прогрессии: -4,16,-64...

Ответы

Ответ дал: Анастасия19972015
0
..............................................
Приложения:
Вас заинтересует