• Предмет: Математика
  • Автор: korobanov20141
  • Вопрос задан 10 лет назад

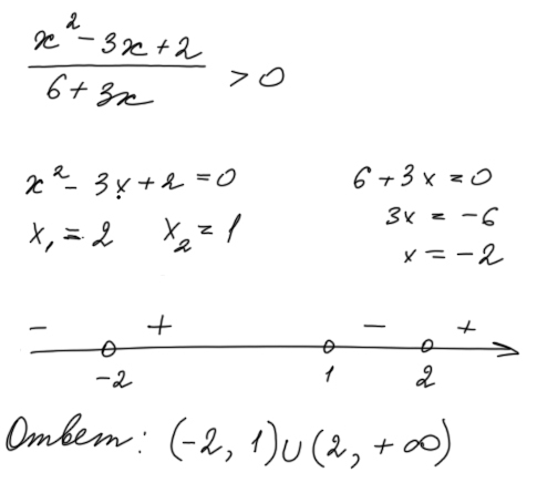
x ^2 - 3*x + 2
------------ > 0
6 + 3*x

Ответы

Ответ дал: UluanaV
0
Решение в прикрепленном файле
Приложения:
Вас заинтересует