• Предмет: Алгебра
  • Автор: karina20012012
  • Вопрос задан 10 лет назад

помогите пожалуйста, очень нужно

Приложения:

Ответы

Ответ дал: Michail2288
0
....................
Приложения:
Ответ дал: Алёнушка1717
0
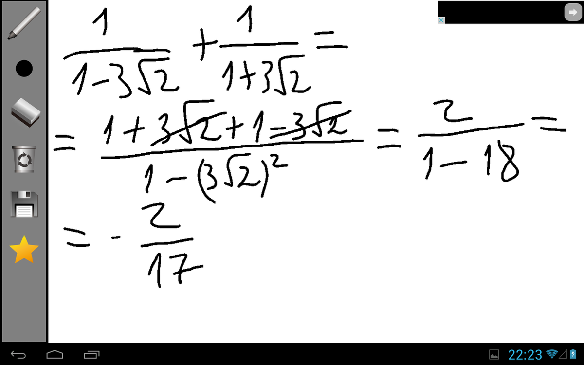
Для того, чтобы это доказать, надо упростить данное выражение. Итак: 1/(1-3√2)+1/(1+√3√2)=(1(1+3√2)+1(1-3√2))/(1-3√2)(1+3√2). Т.е. складываем обе дроби, числители домножаем, знаменатели перемножаем. (1-3√2+1+3√2)/1-18. В знаменателе - число рациональное, => значение дроби есть число рациональное, что и требовалось доказать.
Приложения:
Вас заинтересует