Ответы
Ответ дал:
0
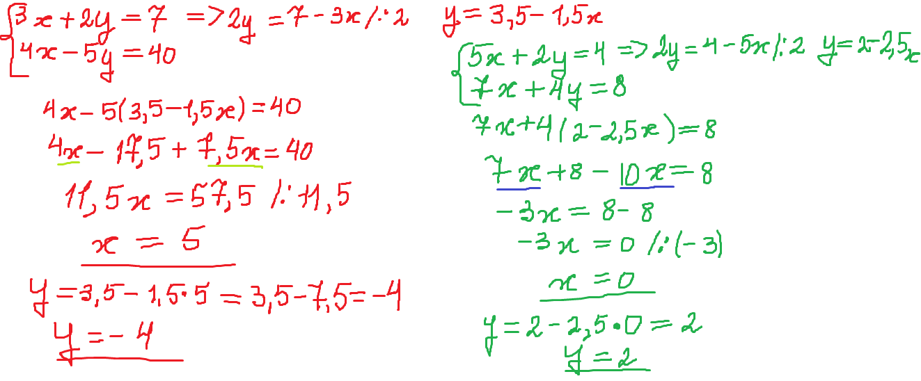
Вот посмотри, должно быть верно)
Приложения:

Вас заинтересует
2 года назад
8 лет назад
10 лет назад
10 лет назад
10 лет назад