• Предмет: Алгебра
  • Автор: VARH
  • Вопрос задан 10 лет назад

Желательно с полным решением, а не просто голый ответ .
Зарание благодарю.

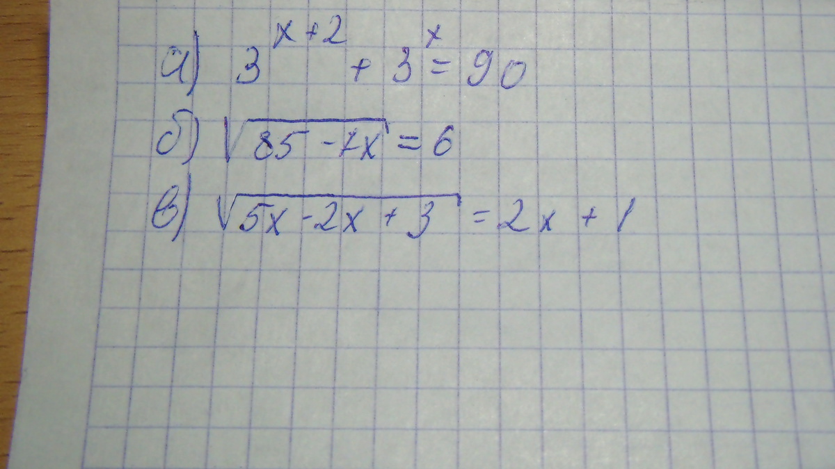
Приложения:

Ответы

Ответ дал: m11m
0
a)  3^{x+2}+ 3^{x}=90 \ 
 3^{2}* 3^{x}+ 3^{x}=90 \ 
 3^{x}(9+1)=90 \ 
3^{x}=90:10 \ 
3^{x}=9 \ 
3^{x}=3^2 \ 
x=2
Ответ: 2

b) sqrt{85-7x}=6

ОДЗ: 85-7x≥0
          -7x≥ -85
            x≤ 85/7
            x≤ 12 ¹/₇

85-7x=6^2 \ 
85-7x=36 \ 
-7x=36-85 \ 
-7x= -49 \ 
x=7
Ответ: 7
Вас заинтересует