• Предмет: Алгебра
  • Автор: filimonov2212
  • Вопрос задан 10 лет назад

найдите наименьшее значение функции y=sqrt(x^2+12x+40)

Ответы

Ответ дал: askierel
0
\y=sqrt{(x^2+12x+36)+4} = sqrt{(x+6)^2+4}
\
\q=sqrt4=2
\
\f_{min}(-6)=2

Ответ дал: Amway96rus
0
y= sqrt{x^2+12x+40}  \ 
D(y):x^2+12x+40 geq0  \ 
x^2+12x+40=0 \ 
d/4=36-40=-4 \
D(y) x∈R
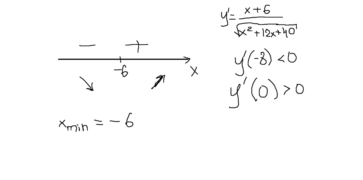
y'= frac{1}{2  sqrt{x^2+12x+40} }*(x^2+12x+40)'= frac{2x+12}{2 sqrt{x^2+12x+40} }= frac{x+6}{ sqrt{x^2+12+40} }    \ 
y'=0 \ 
x+6=0 \ 
x=-6 \
Проверим является ли точка x=-6 точкой минимума (картинка 1)
__
Подставим x_{min}=-6 в функцию
y(-6) sqrt{(-6)^2+12*(-6)+40}= sqrt{36-72+40} =sqrt{4}=2
Ответ: наименьшее значение функции 2
Приложения:
Вас заинтересует