• Предмет: Математика
  • Автор: whitedragon13
  • Вопрос задан 11 лет назад

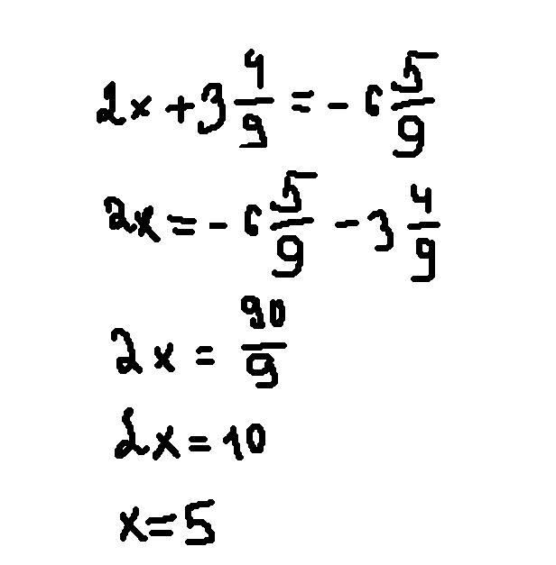
f(x)=2x+3целых4/9 равно -6 целых 5/9

Ответы

Ответ дал: МАрИйКа14
0

Решение во вложении.Надеюсь будет понятно.

Приложения:
Вас заинтересует