• Предмет: Математика
  • Автор: mariyamsad
  • Вопрос задан 11 лет назад

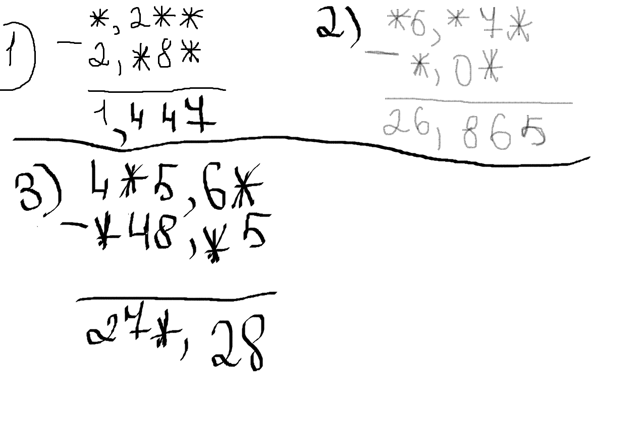
Замените звездочки цифрами: 

Во вложениях!

Приложения:

Ответы

Ответ дал: BillboarD
0

1) 4.259-2.782

2)26.875-0.01

3)425.63-148.35

Ответ дал: яВиктория
0

1) 4,228-2,781=1,447

2) 26,875-,01=26,865

3) 425,63-148,35=277,28

Вас заинтересует