Ответы
Ответ дал:
0
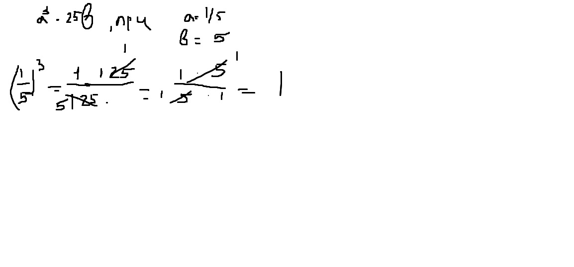
Ответ 1.
Решение смотри в файле.Извини за корявый почерк)
Удачи))
Решение смотри в файле.Извини за корявый почерк)
Удачи))
Приложения:
Вас заинтересует
2 года назад
2 года назад
8 лет назад
8 лет назад
10 лет назад
10 лет назад
10 лет назад