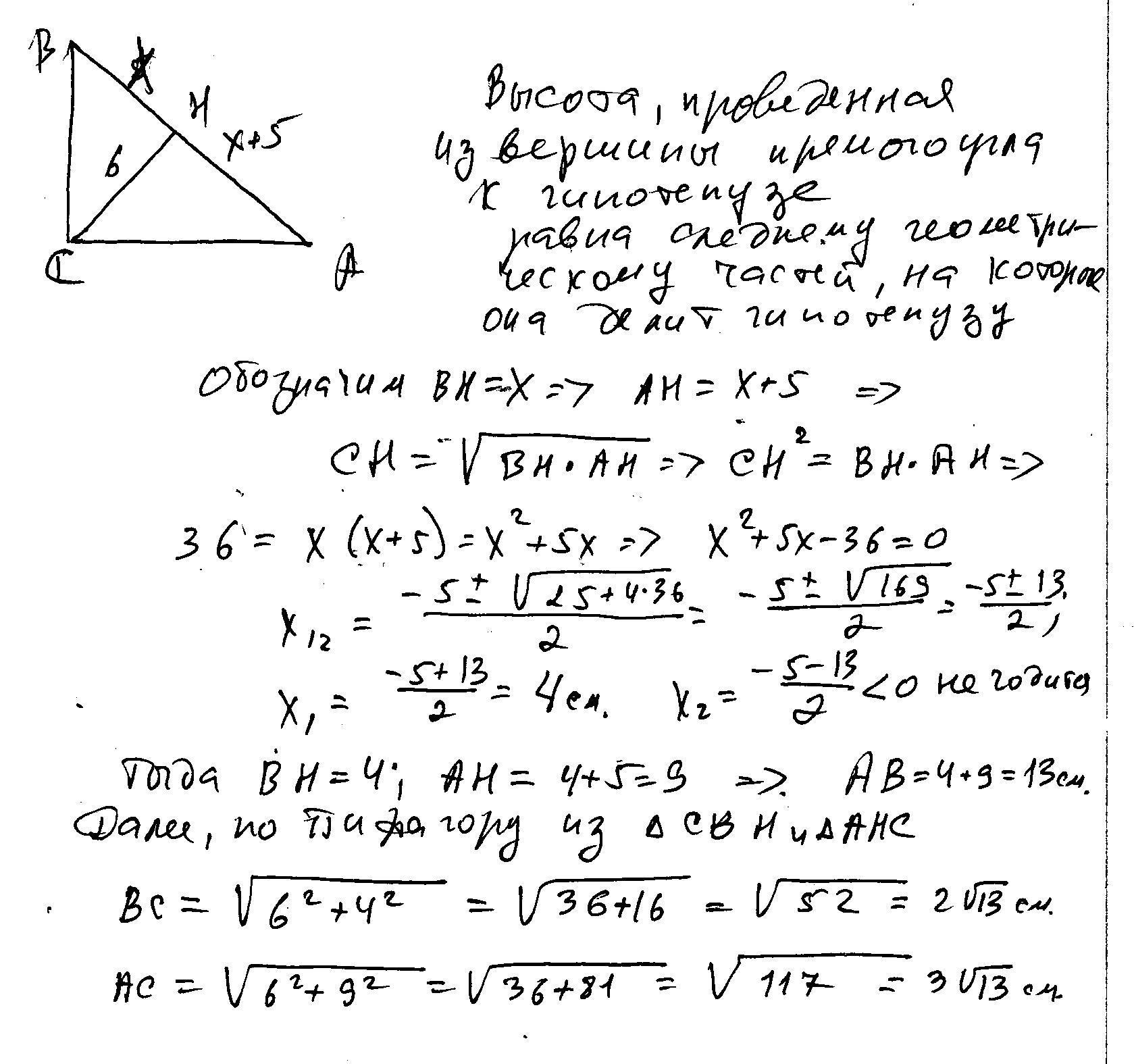
Высота проведенная из вершины прямого угла прямоугольного треугольника равна 6 см,и делит гипотенузу на отрезки один из которых больше другого на 5 см.Найти все стороны
Ответы
Ответ дал:
0
Высота
проведенная из вершины прямого угла прямоугольного треугольника равна 6
см,и делит гипотенузу на отрезки один из которых больше другого на 5
см.Найти все стороны
Приложения:

Вас заинтересует
2 года назад
2 года назад
8 лет назад
8 лет назад
10 лет назад
10 лет назад
10 лет назад