• Предмет: Алгебра
  • Автор: natascha14
  • Вопрос задан 10 лет назад

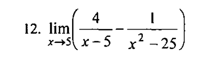
Помогите пожалуйста вычислить предел

Приложения:

Ответы

Ответ дал: kmike21
0
 lim_{x to 5} ( frac{4}{x-5} -  frac{1}{x^2-25})= lim_{x to 5} ( frac{4(x+5)-1}{x^2-25})=lim_{x to 5} ( frac{4x+20-1}{x^2-25})= \ =lim_{x to 5} ( frac{4x+19}{x^2-25})=lim_{x to 5} ( frac{4x+19}{(x-5)(x+5)})= frac{39}{10} lim_{x to 5} ( frac{1}{x-5})=+- infty
Вас заинтересует