Ответы
Ответ дал:
0
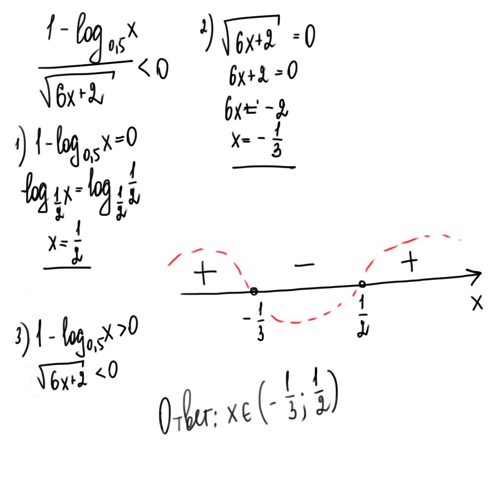
Для того, чтобы существовал логарифм, необходимо, чтобы x>0. При таких х знаменатель существует и положителен, поэто на него можно домножить и "забыть" о нем.
1-log0.5(x)<0
log0.5(x)>1
log0.5(x)>log0.5(0.5)
0<x<0.5
Ответ дал:
0
........................
Приложения:

Вас заинтересует
2 года назад
2 года назад
8 лет назад
10 лет назад
10 лет назад
10 лет назад