Ответы
Ответ дал:
0
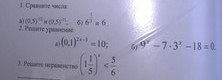
1.
а)не вижу показатели степеней с основанием 0.5
но скажу вот что: функция y=0.5^x убывающая, т.е. большему значению аргумента соответствует меньшее значение функции, т.е. 0.5^x>0,5^y, если x<y
т.е. у тебя та степень тут больше, у которой показатель меньше
б)не вижу показатели степень у первой степени шести, но так же скажу
функция y=6^x возрастающая, т.е. большему значению аргумента соответствует большее значение функции
т.е. та степень тут будет больше, у которой показатель больше (у 6 показатель 1, т.к. 6=6^1, т.е. тебе надо сравнить показатель первой степени с 1, если больше, то эта степень больше, если нет, то меньше)
2. а)0.1^(2x-3)=10
0.1^(2x-3)=0.1^(-1)
2x-3=-1
2x=2
x=1
б)9^x-7*3^x-18=0
t=3^x
t^2-7t-18=0
(t-9)(t+2)=0
t=9 3^x=9 3^x=3^2 x=2
t=-2 3^x=-2 нет решений
ответ: 2
3.
(6/5)^x<5/6
(6/5)^x<(6/5)^(-1)
т.к. y=(6/5)^x возрастающая функция (т.к. 6/5>1), то -1>x
ответ: x<-1
а)не вижу показатели степеней с основанием 0.5
но скажу вот что: функция y=0.5^x убывающая, т.е. большему значению аргумента соответствует меньшее значение функции, т.е. 0.5^x>0,5^y, если x<y
т.е. у тебя та степень тут больше, у которой показатель меньше
б)не вижу показатели степень у первой степени шести, но так же скажу
функция y=6^x возрастающая, т.е. большему значению аргумента соответствует большее значение функции
т.е. та степень тут будет больше, у которой показатель больше (у 6 показатель 1, т.к. 6=6^1, т.е. тебе надо сравнить показатель первой степени с 1, если больше, то эта степень больше, если нет, то меньше)
2. а)0.1^(2x-3)=10
0.1^(2x-3)=0.1^(-1)
2x-3=-1
2x=2
x=1
б)9^x-7*3^x-18=0
t=3^x
t^2-7t-18=0
(t-9)(t+2)=0
t=9 3^x=9 3^x=3^2 x=2
t=-2 3^x=-2 нет решений
ответ: 2
3.
(6/5)^x<5/6
(6/5)^x<(6/5)^(-1)
т.к. y=(6/5)^x возрастающая функция (т.к. 6/5>1), то -1>x
ответ: x<-1
Ответ дал:
0
Спасибо большое!!
Вас заинтересует
2 года назад
2 года назад
8 лет назад
8 лет назад
10 лет назад
10 лет назад
10 лет назад