Ответы
Ответ дал:
0
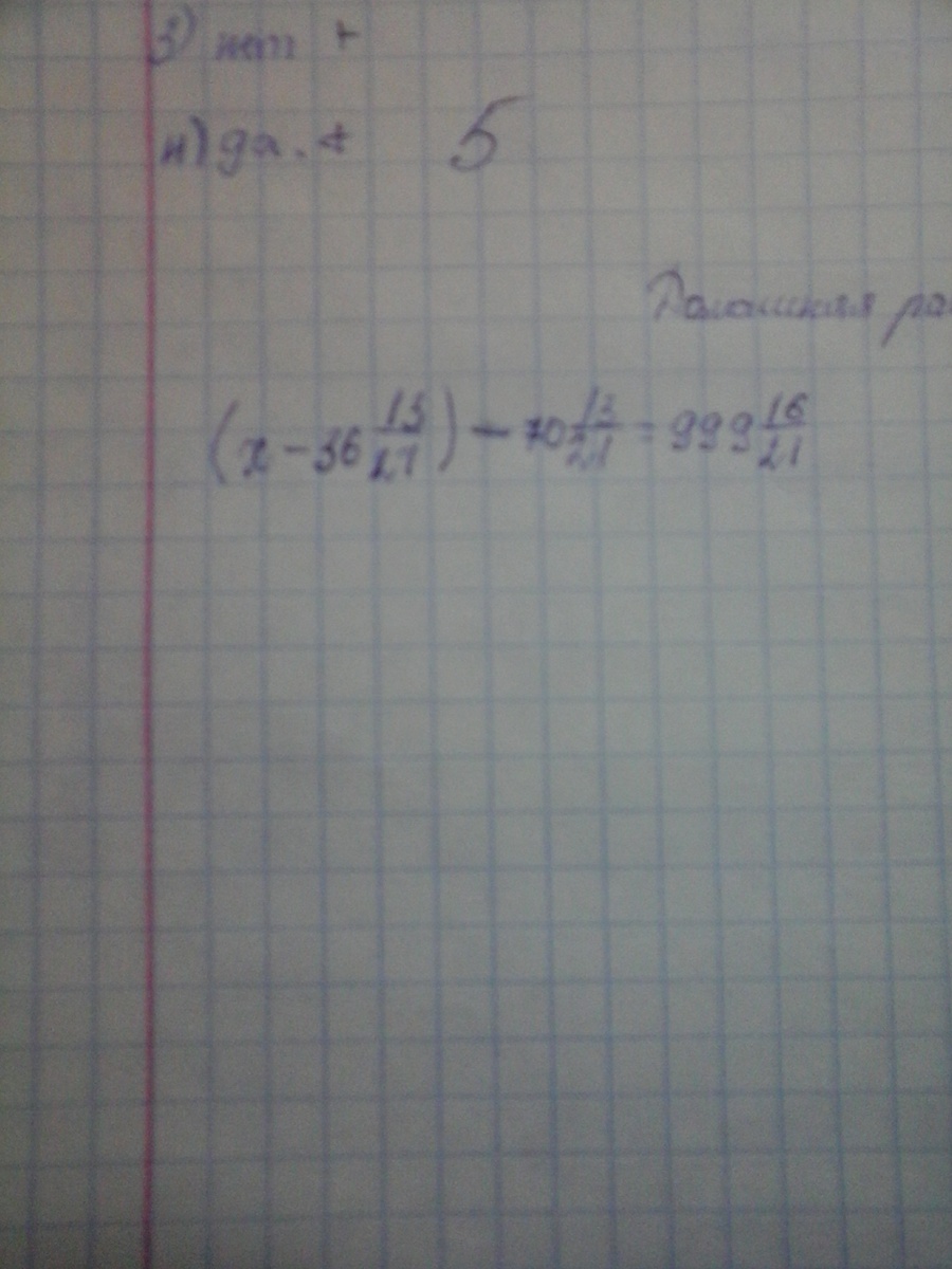
(x-36 13/21) - 70 13/21 = 999 16/21
x-36 13/21 = 999 16/21 + 70 13/21
x-36 13/21 = 1069 29/21
x-36 13/21 = 1070 8/21
x = 1070 8/21 + 36 13/21
x = 1106 21/21
x = 1107
x-36 13/21 = 999 16/21 + 70 13/21
x-36 13/21 = 1069 29/21
x-36 13/21 = 1070 8/21
x = 1070 8/21 + 36 13/21
x = 1106 21/21
x = 1107
Вас заинтересует
3 года назад
8 лет назад
10 лет назад
10 лет назад