ПОЖАЛУЙСТА, помогите решить!!!!!!!!!!!!!!!!!!!!!!!!
При растворении 0,39 г сплава магния с алюминием в 50 г растворе соляной кислоты с массовой долей 5% выделилось 448 мл газа, измеренного при н.у. массовые доми металлов в сплаве:
а) Mg 30,77%; Al 69,23%
b) Mg 45,36%; Al 54,64%
в) Mg 28,36%; Al 71,64%
г ) Mg 66,57%; Al 33,43%
Мне нужен не просто ответ, а как решать такие задачи. ПОЖАЛУЙСТА!!!
Ответы
может поможет........)

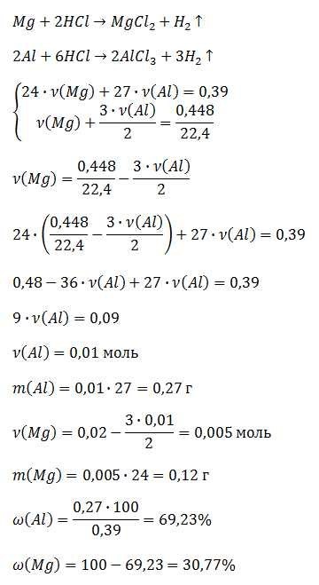
Mg + 2НСl = MgCl2 + H2,
2Al + 6НСl = 2АlСl3 + 3Н2.
Пусть в 0,39 г сплава содержится х моль Mg и у моль Al, тогда
m(сплава) = 24х + 27у = 0,39 г
Количество выделившегося водорода равно
ν(Н2) = х + 1,5у.
По условию задачи выделилось
ν(Н2) = х + 1,5у = 0,448 л/ 22,4 л / моль = 0,02 моль.
Решая систему, получаем
х = 0,005 моль – ν(Mg), у = 0,01 моль – ν(Al).
Массы магния и алюминия в 0,39 г сплава равны:
m(Mg) = 24 г/моль · 0,005 моль = 0,12 г;
m(Al) = 27 г/моль · 0,01 моль = 0,27 г.
Массовые доли компонентов сплава рассчитываем по формуле:
ω=m(металла)⋅100%/m(сплава)
ω(Mg) = 0,12 г ⋅100%/0,39 г= 30,8%;
ω(Al) =0,27 г ⋅100%/0,39 г= 69,2%.
