ПОМОГИТЕ, ПОЖАЛУЙСТА!
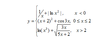
Построить график функции в экселе, используя формулу ЕСЛИ.

Приложения:

Ответа на этот вопрос пока нет. Попробуйте найти его через форму поиска.

Вас заинтересует