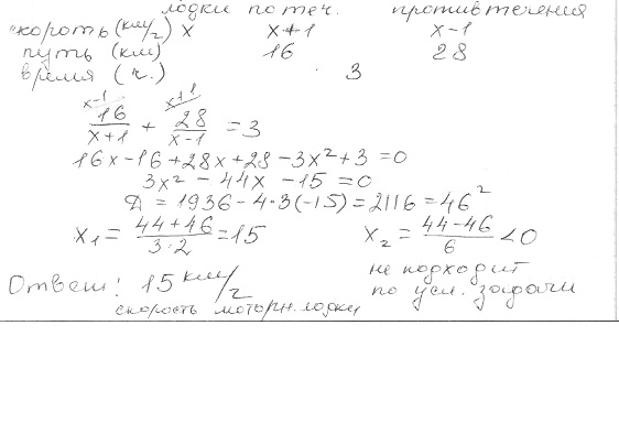
Моторная лодка прошла 28 км против течения реки и 16 км по течению, затратив весь путь 3 ч Какова скорость моторной лодки в стоячей воде, если известно, что скорость течения реки равна 1 км/ч? Дано можно таблицой пожалйста
Ответы
Ответ дал:
0
скорость мот.лодки 15 км/ч
Приложения:

Вас заинтересует
2 года назад
2 года назад
8 лет назад
8 лет назад
10 лет назад