• Предмет: Математика
  • Автор: ROCKER27
  • Вопрос задан 10 лет назад

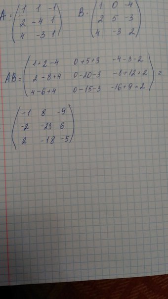
Даны 2 матрицы A и B. Найти AB.


A=       1 1 -1                            
            2 -4 1                                            
            4 -3 1                                            

B=     1  0  -4 
          2  5  -3
          4  -3  2

Ответы

Ответ дал: georgetre
0
vot, dolzhno bit' pravil'no
Приложения:
Ответ дал: tanysha9797
0
это точно правильно,учись в университете с этим проблем нет.написала подробно,надеюсь разберешь
Удачи)
Приложения:
Вас заинтересует