Ответы
Ответ дал:
0
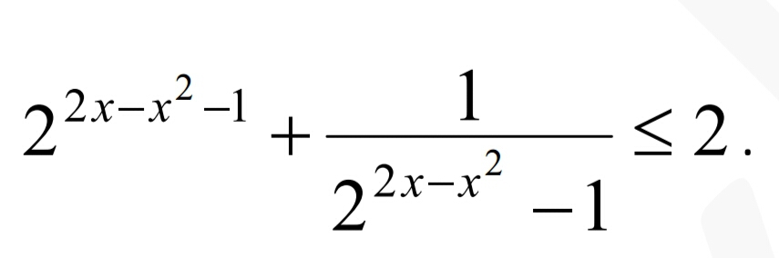
Решение прикреплено в виде фотографии:
Приложения:

Ответ дал:
0
а почему у вас, в числителе в начале стоит 2, если в исходном уравнении у меня 1?
Ответ дал:
0
Да, вы правы, сейчас перерешаю.
Ответ дал:
0
все, прикрепил новое решение.
Вас заинтересует
2 года назад
2 года назад
7 лет назад
7 лет назад
10 лет назад
10 лет назад