• Предмет: Алгебра
  • Автор: BIGBANG
  • Вопрос задан 10 лет назад

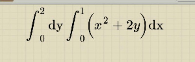
вычислить двойной интеграл

Приложения:

Ответа на этот вопрос пока нет. Попробуйте найти его через форму поиска.

Вас заинтересует