• Предмет: Алгебра
  • Автор: BIGBANG
  • Вопрос задан 10 лет назад

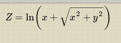
найти полный дифференциал функции

Приложения:

Ответы

Ответ дал: NNNLLL54
0
z=ln(x+sqrt{x^2+y^2})\\z'_{x}= frac{1+frac{2x}{2sqrt{x^2+y^2}}}{x+sqrt{x^2+y^2}} = frac{x+sqrt{x^2+y^2}}{sqrt{x^2+y^2}cdot (x+sqrt{x^2+y^2}))} =frac{1}{sqrt{x^2+y^2}}\\z'_{y}= frac{frac{2y}{2sqrt{x^2+y^2}}}{x+sqrt{x^2+y^2}} = frac{y}{sqrt{x^2+y^2}(x+sqrt{x^2+y^2})} }\\dz=z'_{x}dx+z'_{y}dy=frac{dx}{sqrt{x^2+y^2}}+frac{y, dy}{sqrt{x^2+y^2}(x+sqrt{x^2+y^2})}\
Вас заинтересует