• Предмет: Алгебра
  • Автор: aikobiko
  • Вопрос задан 10 лет назад

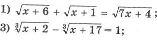
Помогите решить 3) уравнение спс

Приложения:

Ответы

Ответ дал: ВладимирБ
0
Решение смотри в приложении
Приложения:
Вас заинтересует