Ответы
Ответ дал:
0
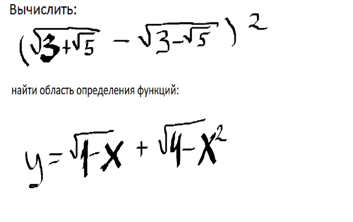
1)sqrt(3+sqrt(5))^2 -2sqrt(3+sqrt(5))sqrt(3-sqrt(5)) +sqrt(3-sqrt(5))^2=3+sqrt(5)
2sqrt((3+sqrt(5))(3-sqrt(5))) +3-sqrt(5)= 6 - 2sqrt(9-5) = 6-2sqrt(4) = 6-4 = 2
2)1-x>=0
x<=1
(2-x)(2+x)>=0
x<=2 x>=2
По совокупности: хэ[-2;1]
2sqrt((3+sqrt(5))(3-sqrt(5))) +3-sqrt(5)= 6 - 2sqrt(9-5) = 6-2sqrt(4) = 6-4 = 2
2)1-x>=0
x<=1
(2-x)(2+x)>=0
x<=2 x>=2
По совокупности: хэ[-2;1]
Ответ дал:
0
sqrt является чем? просто впервые такое вижу)
Ответ дал:
0
квадратным корнем
Ответ дал:
0
спасибо большое
Вас заинтересует
2 года назад
2 года назад
8 лет назад
10 лет назад
10 лет назад
10 лет назад