• Предмет: Математика
  • Автор: ВИИИИЛА
  • Вопрос задан 10 лет назад

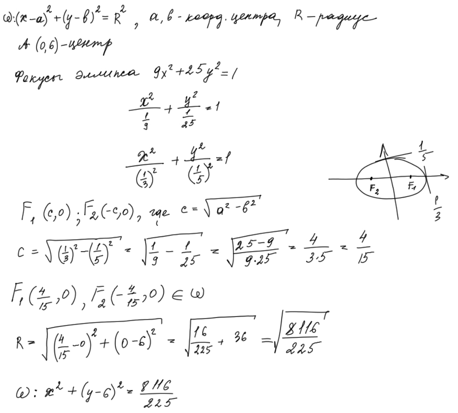
Записать уравнение окружности, проходящей через указанные точки и имеющей центр в точке А.
Фокусы эллипса 9x^2+25y^2=1
A(0,6)

Ответы

Ответ дал: UluanaV
0
Решение в прикрепленном файле.
Приложения:
Вас заинтересует