• Предмет: Алгебра
  • Автор: Камшатик
  • Вопрос задан 10 лет назад

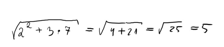
Два в квадрате плюс три умноженная на семь и все это под корнем
Решите все на листочке пожалуйста☺️
8 класс

Ответы

Ответ дал: ИнформатикБУ
0
На листочке так на листочке)
Приложения:
Вас заинтересует