• Предмет: Алгебра
  • Автор: Bella143
  • Вопрос задан 10 лет назад

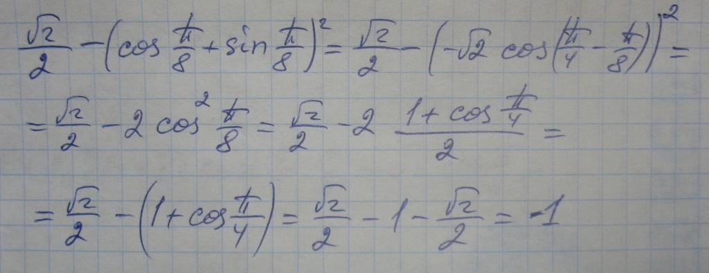
Вычислить :
(cosπ/8-sinπ/8)^2

Ответы

Ответ дал: Smisher45
0
Ответ в файле. Пользуйся на здоровье :э
Приложения:
Ответ дал: jingle0bells
0
Решение вот такое: √2*sinπ/4=√2*√2/2=1
Приложения:
Вас заинтересует