• Предмет: Алгебра
  • Автор: Qwiq
  • Вопрос задан 10 лет назад

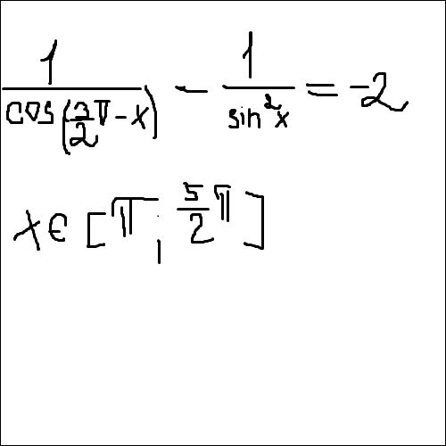
помогите решить пример

Приложения:

Ответы

Ответ дал: v4volande
0
frac{1}{cos(frac{3}2pi-x)}-frac{1}{sin^2x}=-2\
frac{1}{-sinx}-frac{1}{sin^2x}=-2\
t=frac{1}{sinx}\
-t-t^2=-2\
t^2+t-2=0\
t_1=1;    t_2=-2\
begin{cases}
frac{1}{sinx}=1\
frac{1}{sinx}=-2
end{cases}\
\
begin{cases}
sinx=1;    sinxneq0\
sinx=-frac{1}2;
end{cases}\
\
begin{cases}
x=pipmpi n\
x=-frac{pi}{6}pm2pi n;   x=-frac{5}6pipm2pi n\
end{cases}\
xin[pi;frac{5}2pi] = textgreater   x_1=pi;   x_2=1frac{1}6pi;   x_3=1frac{5}6pi;   x_4=frac{5}2pi
Вас заинтересует