Помогите пожалуйста решить 2-ое задание из ЕГЭ по алгебре ( базовый уровень )
2^4+корень из 14 умножить 2^4- корень из 14 ( Пожалуйста подробно опишите решение )
Ответы
Ответ дал:
0
(2^4+√14)(2^4-√14)=(2^4)²-(√14)²=2^8-14=256-14=242,
применяется формула разности квадратов (a+b)(a-b)=a²-b²
ответ: 242
применяется формула разности квадратов (a+b)(a-b)=a²-b²
ответ: 242
Ответ дал:
0
Спасибо большое )))
Ответ дал:
0
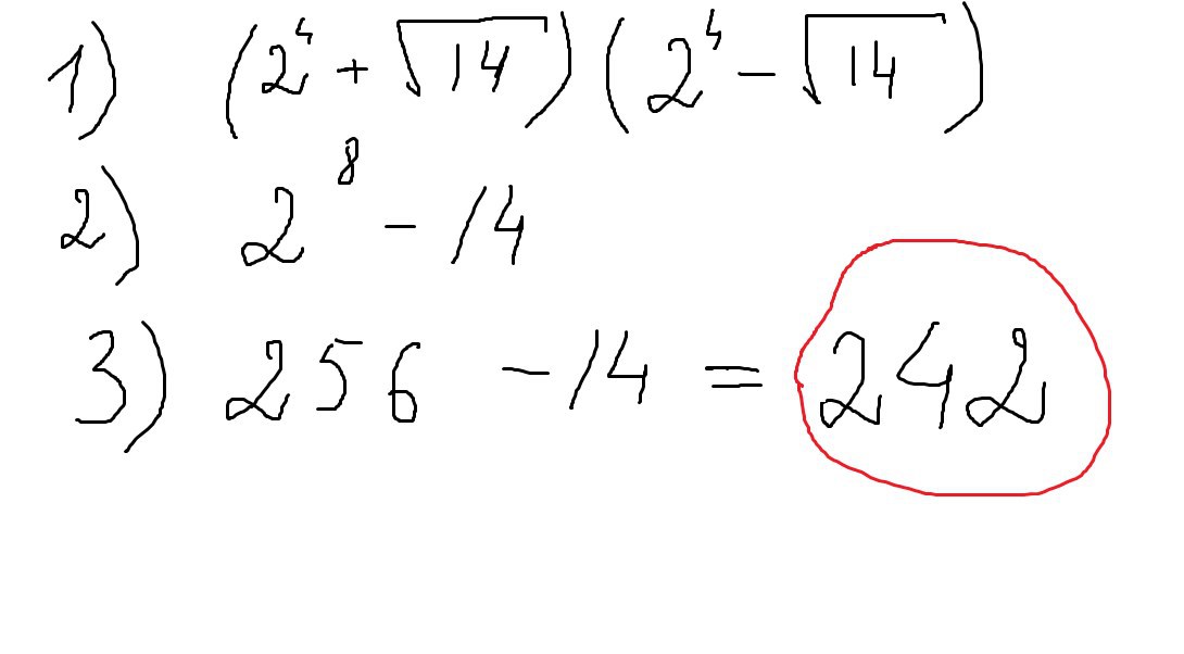
пример имеет вид:
цифра (1) на рисунке
В условии мы видим формулу разности квадратов
Сворачиваем по формуле - цифра (2)
Общая формула разности квадратов: ( a^2 - b^2) расписывается на две скобки как (a - b)*(a + b)
(3) - возводим в восьмую степень 2. Это 256.
Остается посчитать:
256 - 14 = 242
Надеюсь, что ответ верный
цифра (1) на рисунке
В условии мы видим формулу разности квадратов
Сворачиваем по формуле - цифра (2)
Общая формула разности квадратов: ( a^2 - b^2) расписывается на две скобки как (a - b)*(a + b)
(3) - возводим в восьмую степень 2. Это 256.
Остается посчитать:
256 - 14 = 242
Надеюсь, что ответ верный
Приложения:
Вас заинтересует
3 года назад
10 лет назад
10 лет назад
11 лет назад
11 лет назад