Ответы
Ответ дал:
0
Ответ дал:
0
В первом минус потерялии
Ответ дал:
0
Точно! Спасибо
Ответ дал:
0
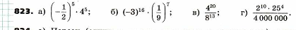
823.
а)
б)
в)
г)
а)
б)
в)
г)
Ответ дал:
0
у меня телефонная версия
Ответ дал:
0
приложение
Ответ дал:
0
Уйдите со своего вопроса и зайдите снова))
Ответ дал:
0
Я многое пробовал. Перезагружал устройство. Выходил и заходил в аккаунт, перекачивал приложение, зашёл с браузера. Ничего не помогает.
Ответ дал:
0
Даже зашёл с другого устройства.
Вас заинтересует
2 года назад
2 года назад
8 лет назад
8 лет назад
10 лет назад
10 лет назад