• Предмет: Математика
  • Автор: eregrt
  • Вопрос задан 10 лет назад

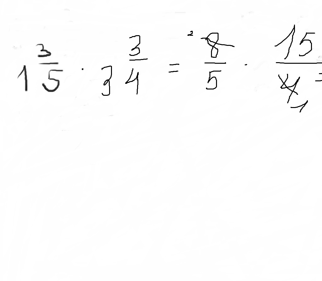
Здравствуйте, проверьте меня , и помогите сокращать ли 15 и 5 , а если да то на сколько на 5? это что ли получится двадцать четыре четвертых?

Приложения:

Ответы

Ответ дал: andrisd
0
Все правильно, только надо еще сократить 5 и 15 на 5.
Ответ дал: eregrt
0
И получится = 24/4=6?
Ответ дал: eregrt
0
Правильно?
Ответ дал: andrisd
0
6/1=6
Ответ дал: eregrt
0
Вот спасибо)
Ответ дал: lolo4884
0
А ты напиши дробь!
Вас заинтересует