• Предмет: Математика
  • Автор: lelya8
  • Вопрос задан 10 лет назад

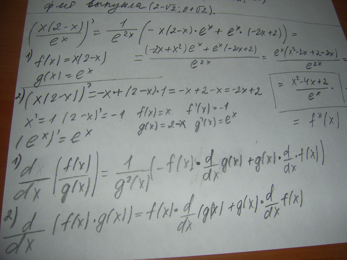
Найти интервалы выпуклости вверх и выпуклости вниз, а также точки перегиба функции f(x)=x^2e^-x

Ответы

Ответ дал: missisnatasha11
0
Во втором фото я расписала как находила вторую производную
Приложения:
Ответ дал: lelya8
0
на 1 фото -x^2*e^-x  (не понимаю там равно или пи????)
Ответ дал: missisnatasha11
0
-x^2*e^-x+2*x*e^-x=(x(2-x))/e^x или x(2-x)*e^-x
Ответ дал: missisnatasha11
0
это +
Вас заинтересует