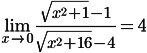
Помогите пожалуйста решить предел,все нужно расписать,никак не получается раскрыть неопределенность.
Приложения:

Ответы
Ответ дал:
0
Ответ дал:
0
Огромное Вам спасибо!!!
Вас заинтересует
2 года назад
7 лет назад
7 лет назад
10 лет назад
10 лет назад
10 лет назад