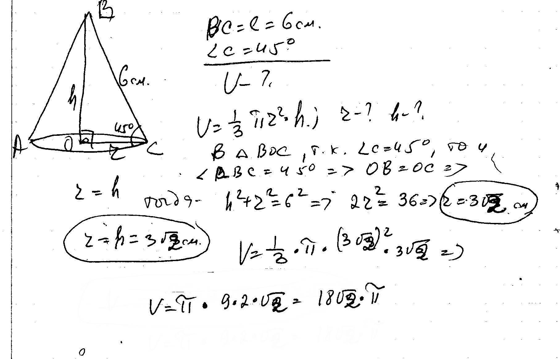
образующая конуса равна 6см и составляет с площадью основания угол 45градусов найдти обьем конуса
Ответы
Ответ дал:
0
образующая конуса равна 6см и составляет с площадью основания угол 45градусов найти объем конуса
Приложения:

Вас заинтересует
2 года назад
2 года назад
8 лет назад
8 лет назад
10 лет назад
10 лет назад