• Предмет: Алгебра
  • Автор: betta2015
  • Вопрос задан 10 лет назад

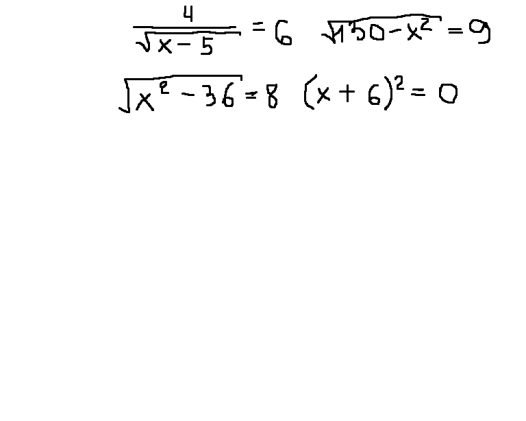
помогите решить уравнения

Приложения:

Ответы

Ответ дал: Rainymood
0
........................................
Приложения:
Ответ дал: betta2015
0
спасибо
Вас заинтересует